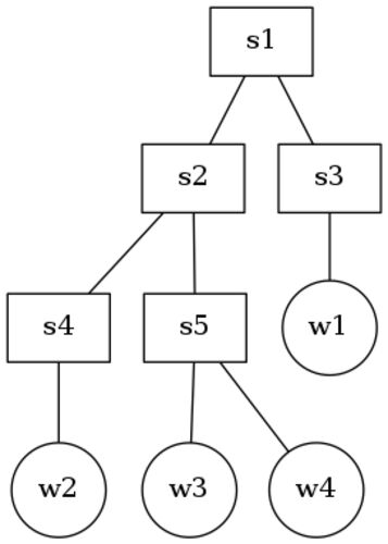
監視ツリー (Supervision Trees) Erlang/OTPの基本概念は、下記の図に示す監視ツリーです。これはワーカーとスーパーバイザーのアイデアに基づいたプロセス構造です。 ワーカーは、計算を実行するプロセスで、実際の作業をします。 スーパーバイザーはワーカ…
引用をストックしました
引用するにはまずログインしてください
引用をストックできませんでした。再度お試しください
限定公開記事のため引用できません。